Binary Tree 순회 방법에 대해 알아볼겠습니다.
Binary Tree Traversal
이진 트리를 횡단하면서 트리의 모든 데이터를 가져오는 방법
- Inorder
- Left - Root - Right
- Preorder
- Root - Left - Right
- Postorder
- Left - Right - Root

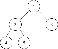
Exemple
예제를 통한 순서 알아보기

Inorder
- 4 - 2 - 5 - 1 - 3
Preorder
- 1 - 2 - 4 - 5 - 3
Postorder
- 4 - 5 - 2 - 3 - 1
Binary Tree 구현 코드 in Java
class Node {
int data;
Node left;
Node right;
}
class Tree {
public Node root;
public void setRoot(Node node) {
this.root = node;
}
public Node getRoot() {
return root;
}
public Node makeNode(Node left, int data, Node right) {
Node node = new Node();
node.data = data;
node.left = left;
node.right = right;
return node;
}
public void inorder(Node node) {
if(node != null) {
inorder(node.left);
System.out.println(node.data);
inorder(node.right);
}
}
public void preorder(Node node) {
if(node != null) {
System.out.println(node.data);
preorder(node.left);
preorder(node.right);
}
}
public void postorder(Node node) {
if(node != null) {
postorder(node.left);
postorder(node.right);
System.out.println(node.data);
}
}
}
/*
(1)
↙ ↘
(2) (3)
↙ ↘
(4) (5)
Inorder (Left, Root, Right): 4 2 5 1 3
Preorder (Root, Left, Right): 1 2 4 5 3
Postorder (Left, Right, Root): 4 5 2 3 1
*/
public class Traversal {
public static void main(String[] args) {
Tree t = new Tree();
Node n4 = t.makeNode(null, 4, null);
Node n5 = t.makeNode(null, 5, null);
Node n2 = t.makeNode(n4, 2, n5);
Node n3 = t.makeNode(null, 3, null);
Node n1 = t.makeNode(n2, 1, n3);
t.setRoot(n1);
System.out.println("Inorder : ");
t.inorder(t.getRoot());
System.out.println("Preorder : ");
t.preorder(t.getRoot());
System.out.println("Postorder : ");
t.postorder(t.getRoot());
}
}
링크
아래 강의를 참고하여 작성하였습니다.
'DataStructure' 카테고리의 다른 글
| [Tree] Trie Tree 개념 (0) | 2021.01.14 |
|---|---|
| [Tree] Binary Heaps 개념 (0) | 2021.01.14 |
| [Tree] Tree의 개념, 종류 (0) | 2021.01.14 |
| [Queue] Queue 개념, 구현 (0) | 2021.01.14 |
| [Stack] Stack 개념, 구현 (0) | 2021.01.14 |