그래프(Graph)에 대해 알아볼겠습니다.
그래프(Graph)란?
강의 영상에서의 설명
트리는 노드가 있고 노드를 연결하는 엣지가 있다.
엣지의 방향은 위에서 아래로 간다.
만약, 엣지의 방향이 위아래로 있고 방향을 안 갖고 있을수 있고 ...
자기 자신을 가리키기도 하면... !@#$%
그것이 그래프입니다.
위키백과 설명
그래프는 vertex와 edge로 구성된 한정된 자료구조를 의미한다.
vertex는 정점, edge는 정점과 정점을 연결하는 간선이다.
나의 설명
간선을 통해 연결된 정점들이 모인 자료구조...
그냥 그림을 보고 이해하자!

참조 - 트리도 그래프의 한 종류이다.
모든 트리는 방향이 아래로 가기 때문에 화살표를 생략 가능.
Directed VS Undirected
Directed - edge의 방향을 있다.
Undirected - edge가 방향이 없다.

Cyclic VS Acyclic
- Cyclic - 사이클이 하나 이상 존재
- Acyclic - 사이클이 없음

그래프를 표현하는 방법
- 인접 행렬 (Adjacency Matrix) - 2차원 배열에 표현
- 인접 리스트 (Adjacency List) - 배열에 노드들을 나열하고 관계를 Linked Lsit로 표현
Adjacency Matrix
- 각각의 노드들의 번호로 구성된 노드들을 테이블로 구성
- 서로 연결되면 1, 연결되지 않았으면 0으로 채운다.
아래 그래프를 Adjacency Matrix로 표현해보자.

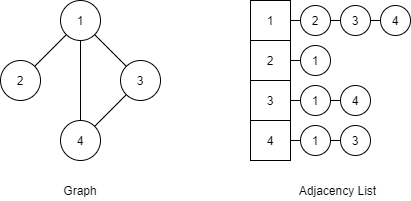
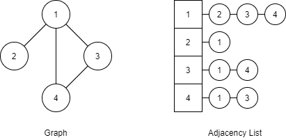
Adjacency List
- 배열에 모든 노드를 넣는다.
- 배열에 들어간 각 노드에 인접한 노드들을 Linked List로 채워준다.
- Linked List를 채울때 순서는 상관없다.
- List의 총 노드의 개수는 엣지의 개수x2
- 서로 연결된걸 모두 적어주기 때문에
아래 그래프를 Adjacency List로 표현해보자.

엣지의 개수 m(위 예제에서는 4)
리스트 안의 원소의 개수 2m(위 예제에서는 2, 3, 4, 1, 1, 4, 1, 3 이므로 8)
링크
아래 강의를 참고하여 작성하였습니다.
'DataStructure' 카테고리의 다른 글
| [ArrayList] Array List 개념, 구현 (0) | 2021.01.14 |
|---|---|
| [Graph] Graph 탐색 DFS, BFS (0) | 2021.01.14 |
| [Tree] Trie Tree 개념 (0) | 2021.01.14 |
| [Tree] Binary Heaps 개념 (0) | 2021.01.14 |
| [Tree] Binary Tree 순회 방법 (0) | 2021.01.14 |